• Предмет: Алгебра
  • Автор: Аноним
  • Вопрос задан 11 лет назад

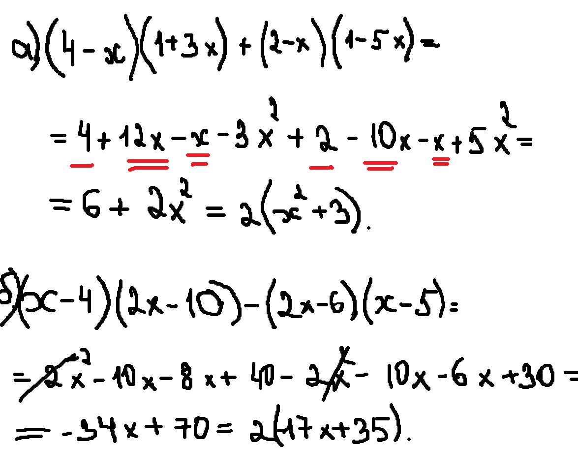
запишите алгебраическое выражение в виде многочлена стандартного вида: (4-х)(1+3х)+(2-х)(1-5х)    б) (х-4)(2х-10)-(2х-6)(х-5)

Ответы

Ответ дал: Anna501
0

а)(4-х)(1+3х)+(2-х)(1-5х)=4+12х-х-3х(в квадрате)+2-10х-х+5х(в квадрате)=6+11х-11х+2х( в квадрате)=6+2х(в квадрате)=2(3+х)

б)(х-4)(2х-10)-(2х-6)(х-5)=2х(в кв.)-10х-8х+40-(2х(в кв.)-10х-6х+30)=2х(в кв.)-18х+40-2х( в кв.)+16х-30=-2х+10=10-2х=2(5-х)

Ответ дал: МАрИйКа14
0

по поводу пторого я е уверенна.

 

Приложения:
Вас заинтересует