• Предмет: Алгебра
  • Автор: nat96
  • Вопрос задан 11 лет назад

помогите решить: Упростить: (a^2+ab)/(5a-a^2+b^2-5b)∙(a^2-b^2+25-10a)/(a^2-b^2 )

Ответы

Ответ дал: 7criss
0

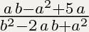
(a^2+ab)/(5a-a^2+b^2-5b)∙(a^2-b^2+25-10a)/(a^2-b^2 )=(a*b-a^2+5*a)/(b^2-2*a*b+a^2)

Приложения:
Ответ дал: dtnth
0

frac{a^2+ab}{5a-a^2+b^2-5b}frac{a^2-b^2+25-10a}{a^2-b^2}= frac{(a^2+ab)(a^2-b^2+25-10a)}{(5a-a^2+b^2-5b)(a^2-b^2)}= frac{a(a+b)((a-5)^2-b^2)}{(5(a-b)-(a^2-b^2))(a+b)(a-b)}= frac{a(a-5-b)(a-5+b)}{(5(a-b)-(a-b)(a+b))(a-b)}= frac{a(a-5-b)(a-5+b)}{-(a-5+b)(a-b)(a-b)}= frac{a(5+b-a)}{(a-b)^2}

Приложения:
Вас заинтересует