• Предмет: Алгебра
  • Автор: sllsls
  • Вопрос задан 10 лет назад

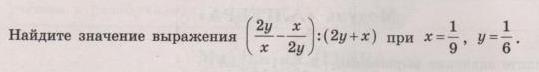
Найдите значения выражения смммм вложения срочнО!!!!!!!!!!!!!!!!

Приложения:

Ответы

Ответ дал: Хильмилли
0
1. 2y/x-x/2y=(4y^2-x^2)/2xy=((2y-x)(2y+x))/2xy
2.( ((2y-x)(2y+x))/2xy)/(2y+x)=(2y-x)/2xy
(2*1/6-1/9)/(2*1/9*1/6)=2/9/(1/27)=6
Вас заинтересует