• Предмет: Алгебра
  • Автор: maksimsokol
  • Вопрос задан 10 лет назад

Вычислитб
1/sin920° +1/корень квадратный из 3 sin470°

Ответы

Ответ дал: zenyu2405
0
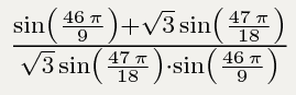
=(sin(46*пи/9)+корень(3)*sin(47*пи/18))/(корень(3)*sin(47*пи/18)*sin(46*пи/9))
Приложения:
Вас заинтересует