• Предмет: Алгебра
  • Автор: mcurlowa
  • Вопрос задан 10 лет назад

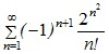
а) дослідити числовий ряд на абсолютну збіжність;

б) знайти область збіжності степеневого ряду.

Приложения:

Ответа на этот вопрос пока нет. Попробуйте найти его через форму поиска.

Вас заинтересует