• Предмет: Алгебра
  • Автор: elyaelyaelyaelyaelya
  • Вопрос задан 10 лет назад

Дали переписать самостоятельную работу,помогите. СРОЧНО. только подробнее..

Приложения:

Ответы

Ответ дал: tszs62
0
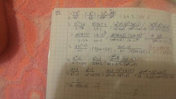
1)  frac{-3a^{3}}{4b^{2}} * frac{8b^{2}}{-a^2{}}  =  frac{-3a^{3}*8b^{2}}{-a^{2}*4b^{2}} =  frac{3*2a}{1} = 6a \ 
2)  frac{x^{2}+2x}{2-3x}* frac{3x-2}{(x-2)^{2}} = frac{(3x-2)*x*(x+2)}{-(3x-2)*(x-2)^{2}} = frac{-(x+2)x}{(x-2)^{2}}  \ 
3)  frac{9m^{2}-n^{2}}{n^{2}}* frac{1}{5(3m+n)} = frac{(3m-n)(3m+n)}{n^{2}*5(3m+n)} = frac{3m-n}{5n^{2}}
Ответ дал: Support001
0
Через что решали?
Ответ дал: Support001
0
Просто меня смутило, что в виде картинки, вот и решил спросить.
Вас заинтересует