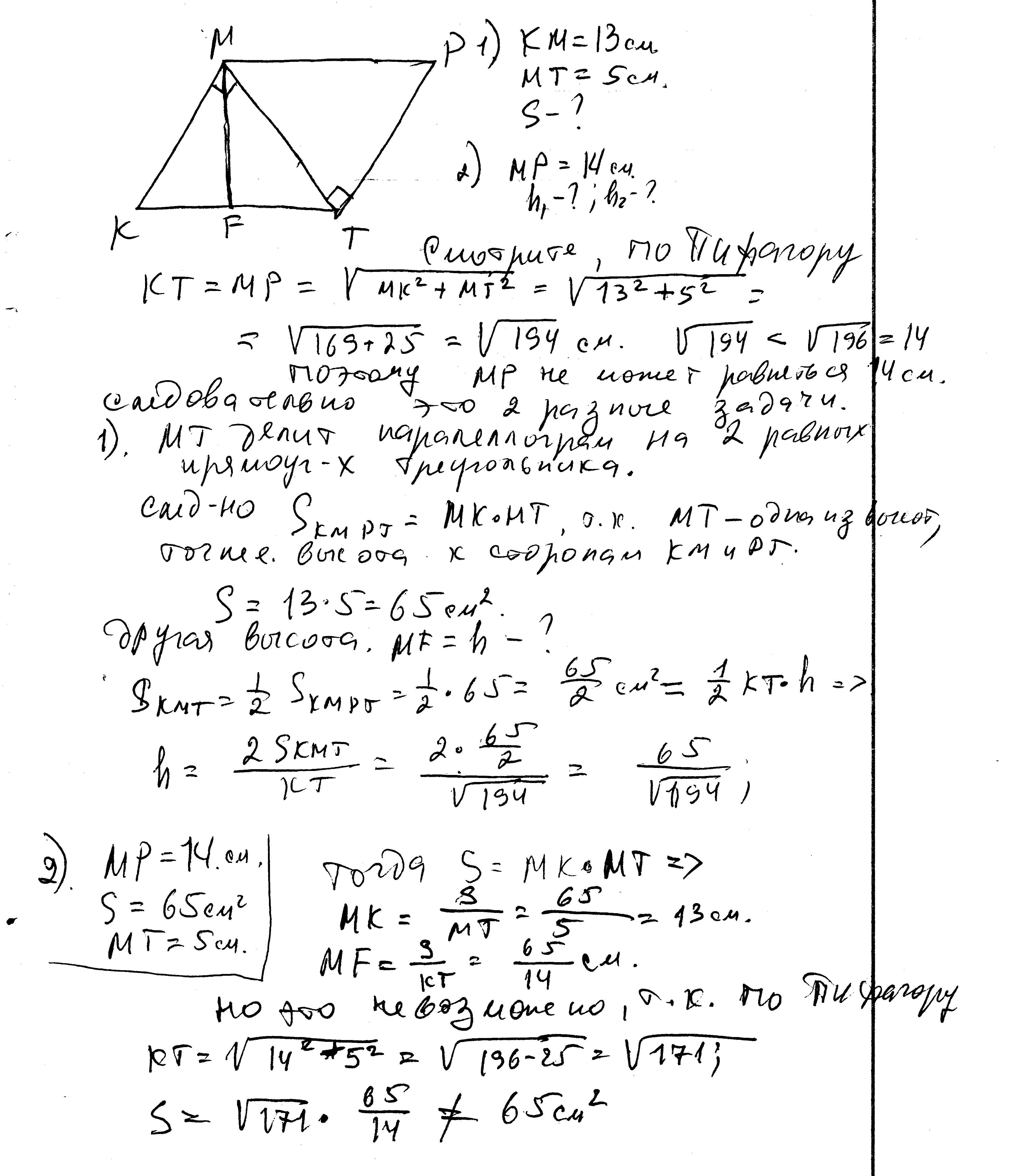
В параллелограмме KMPT диагональ MT перпендикулярна стороне MK,KM=13,MT=5см.Найти площадь параллелограмма и его высоты,если MP=14
Ответы
Ответ дал:
0
Условие задачи некорректно. Нормального текста не нашел. В интернете в
основном тиражируется решение, данное в майле ру. Оно не полное и
частично неверное. Такой параллелограмм невозможен. В тексте решения
это показано. На первой странице решение с данным условием. Если
считать, что МТ перпендикулярно другой стороне, становится чуть лучше,
но и это условие неверное. Показаны некоторые возможности решения данной
задачи. Это на второй и третьей странице. Выбирайте что по душе. :)
Приложения:



Вас заинтересует
2 года назад
2 года назад
7 лет назад
10 лет назад
10 лет назад