• Предмет: Алгебра
  • Автор: artik19
  • Вопрос задан 10 лет назад

помогите пожалуйста)

Приложения:

Ответы

Ответ дал: Anzor1998
0
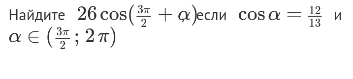
26cos( frac{3 pi }{2}+a )=26sina
Так как 3п/2 функцию меняем на sin, а знак определяем по четверти - 3п/2+
+угол a = 3 четверть ⇒ cos положительный. 

cosa^{2}+sina^{2}=1 \ sina= sqrt{1-cosa^{2}}

26*sqrt{1- (frac{12}{13})^{2}} =26*sqrt{(1- frac{12}{13}})(1+ frac{12}{13}})= 26*sqrt{(frac{1}{13}})(frac{25}{13}})=frac{26*1*5}{13}
Ответ: 10

Номер 2:
9cos2a=9cosx - 9sinx

cosa^{2}+sina^{2}=1 \ sina= sqrt{1-cosa^{2}}

9cosx-9sqrt{1-cosa^{2}}=9cosx-9sqrt{1-cosa^{2}}=9*frac{1}{3} -9sqrt{1-frac{1}{9}}=
3-9sqrt{1-frac{1}{9}}=3-9sqrt{(1- frac{1}{3})(1+ frac{1}{3} ) }=3-9sqrt{(frac{2}{3})(frac{4}{3} ) }=3-9{frac{ sqrt{2}*2}{3}}=
=3-6 *sqrt{2}
Ответ:3-6 *sqrt{2}

P.S во втором не уверен, если есть ответы, проверь.
Ответ дал: Anzor1998
0
корень из 1 = 1, корень из 25=5, произведение двух корней=основание
Вас заинтересует