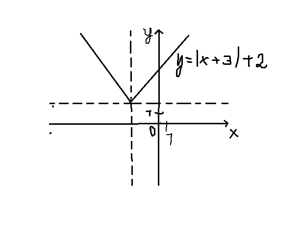
построить график функции y=|x+3|+2 решите пожалуйста срочно с подробным объяснением. Не знаю как решать модуль.
Ответы
Ответ дал:
0
см.рис.
=========================================================
Приложения:

Ответ дал:
0
График функции y=Ix+3I+2 получается из графика функции у=IxI путём сдвига графика на I2I единичных отрезка вверх, т.к. I2I больше нуля, на I2I единичных отрезка влево, т.к. I3I больше 0:
Приложения:

Вас заинтересует
8 лет назад
8 лет назад
10 лет назад
10 лет назад
10 лет назад