8. Какое количество вещества соответствует: а) 306 г оксида алюминия Al2O3; б) 5 л водорода H2 (при н.у.); в) 12∙1023 молекул углекислого газа CO2.
9. Рассчитайте массу: а) 0,5 моль хлороводорода HCl; б) 0,6∙1023 атомов серы S; в) 10 л сероводорода H2S (при н.у.).
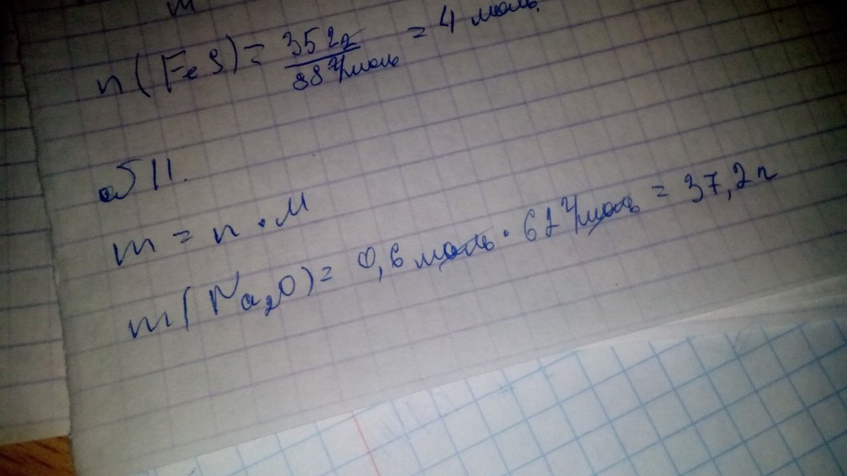
10. Какое количество вещества соответствует 352 г сульфида железа FeS?
11. Рассчитайте массу 0,6 моль оксида натрия Na2O.
12. Вычислите массу нитрата меди (II) Cu(NO3)2 и количество молекул воды, которые образуются при растворении 7,4 г меди в разбавленной азотной кислоте.
Уравнение протекающего процесса:
3Cu + 8HNO3 → 3Cu(NO3)2 + 2NO↑ + 4H2O
13. Из предложенных ниже методов разделения смесей выберите тот, с помощью которого можно разделить смесь: 1) воды и речного песка; 2) углерода и железа.
а) фильтрование; в) выпаривание;
б) дистилляция; г) с помощью магнита.
Ответы
Ответ дал:
0
№13, я не уверена, но думаю, что
1) а,в
2) б
1) а,в
2) б
Приложения:



Вас заинтересует
2 года назад
7 лет назад
10 лет назад
10 лет назад
10 лет назад
10 лет назад