Ответы
Ответ дал:
0
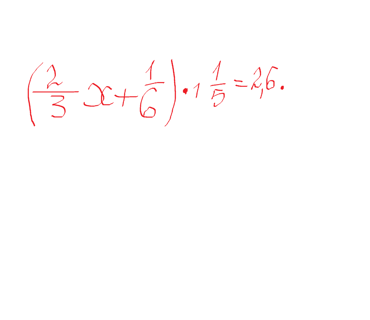
Розв"язання на фото
___________________________
___________________________
Приложения:

Вас заинтересует
2 года назад
2 года назад
7 лет назад
10 лет назад