Ответы
Ответ дал:
0
Решение там, думаю все верно
Приложения:

Ответ дал:
0
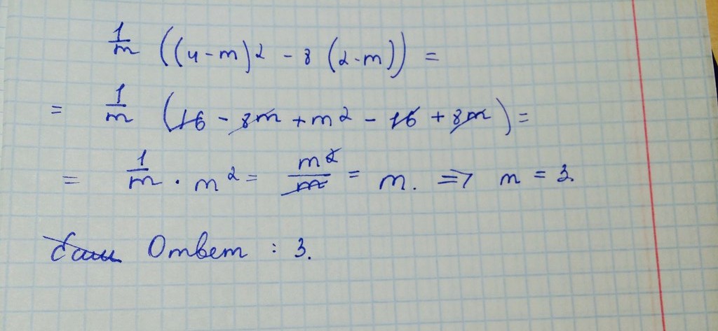
1m (16 - 8m +
- 16 + 8m)
1m *
m
при m=3, значение 3
1m *
m
при m=3, значение 3
Приложения:

Вас заинтересует
2 года назад
2 года назад
7 лет назад
7 лет назад
10 лет назад
10 лет назад
10 лет назад