ПОМОГИТЕ, УМОЛЯЮ. ДАЮ КЛАССНЫЕ БАЛЛЫ)))
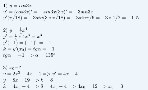
1) Найти производную функцию. у=cos3x в т. xo=
2) найти угол , который образует с положительным направлением оси Ох касательная к графику функции y=
в т. хо=-1
3) уравнение касательной к кривой y=2
-4x-1 имеет вид y=8x-19 определить абцис точки соприкосновения.
Ответы
Ответ дал:
0
Приложения:

Вас заинтересует
2 года назад
2 года назад
7 лет назад
7 лет назад
10 лет назад
10 лет назад
10 лет назад