• Предмет: Физика
  • Автор: murchurka
  • Вопрос задан 10 лет назад

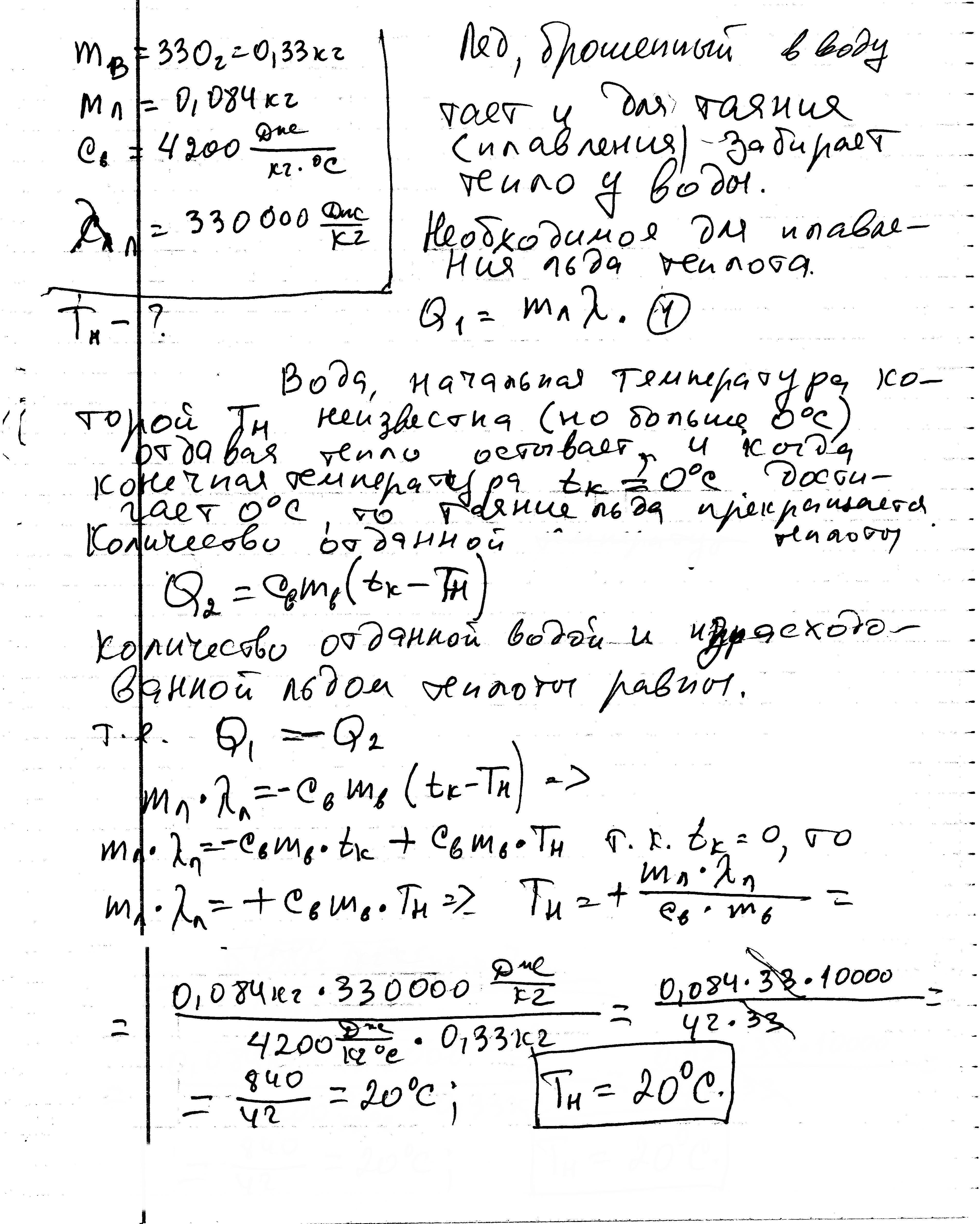
В калориметр с водой бросают кусочки тающего льда. В некоторый момент кусочки льда перестают таять. Первоначальная масса воды в сосуде 330 г, а в конце процесса масса воды увеличивается на 84 г. Какой была начальная температура воды в калориметре? Удельная теплоемкость воды 4200 Дж/(кг•°С), удельная теплота плавления льда 330 кДж/кг.

Ответы

Ответ дал: ужнеужели
0
решение в скане....................
Приложения:
Вас заинтересует