• Предмет: Математика
  • Автор: leo702702
  • Вопрос задан 10 лет назад

Уравнения. Решите пожалуйсто, буду благодарен

Приложения:

Ответы

Ответ дал: prettypushkova
0


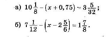
а) 10 1/8 - (х + 0,75) = 3 5/32

х + 0,75 = 10 1/8 - 3 5/32

х + 0,75 = 10 4/32 - 3 5/32 = 9 36/32 - 3 5/32 = 6 31/32

х + 3/4 = 6 31/32                                          (0,75 = 3/4)

х = 6 31/32 - 3/4 = 6 31/32 - 24/32

х = 6 7/32


б) 7 1/12 - (х - 2 5/6) = 1 7/8

х - 2 5/6 = 7 1/12 - 1 7/8 = 7 2/24 - 1 21/24 = 6 26/24 - 1 21/24 = 5 5/24

х - 2 5/6 = 5 5/24

х = 5 5/24 + 2 5/6 = 5 5/24 + 2 20/24 = 7 25/24

х = 8 1/24

Вас заинтересует