Разложите многочлен на множители
Помогите пожалуйста очень надо.
Заранее большое спасибо!!!!
Приложения:
Ответы
Ответ дал:
0
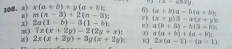
А) (х+у)*(а+в)
Б) (а+в)*(а-в)
В) (м+2)*(n-3)
Г) x+y)*(3-a)
Д) (2a-3)*(1-b)
Е) (x+y)*(3-a)
Ж) (7x-2)*(2y+x)
З) (a+b)*(a+1)
И) ((2х+3у)*(х+2у)
К)(2х-1)*(а-1)
Б) (а+в)*(а-в)
В) (м+2)*(n-3)
Г) x+y)*(3-a)
Д) (2a-3)*(1-b)
Е) (x+y)*(3-a)
Ж) (7x-2)*(2y+x)
З) (a+b)*(a+1)
И) ((2х+3у)*(х+2у)
К)(2х-1)*(а-1)
Ответ дал:
0
a) (a+b)(x+y)
б) (a+b)(a-b)=a^2 - b^2
в) (n-3)(m+2)
г) (x+y)(3-a)
д) (1-b)(2a-3)
е) (b+3)(a-b)
ж) (x+2y)(7x-2)
з) (a+b)(a+1)
и) (x+2y)(2x+3y)
к) (a-1)(2x-1)
б) (a+b)(a-b)=a^2 - b^2
в) (n-3)(m+2)
г) (x+y)(3-a)
д) (1-b)(2a-3)
е) (b+3)(a-b)
ж) (x+2y)(7x-2)
з) (a+b)(a+1)
и) (x+2y)(2x+3y)
к) (a-1)(2x-1)
Вас заинтересует
3 года назад
8 лет назад
8 лет назад
10 лет назад
10 лет назад
11 лет назад
11 лет назад