• Предмет: Математика
  • Автор: dariazhuravliova02
  • Вопрос задан 10 лет назад

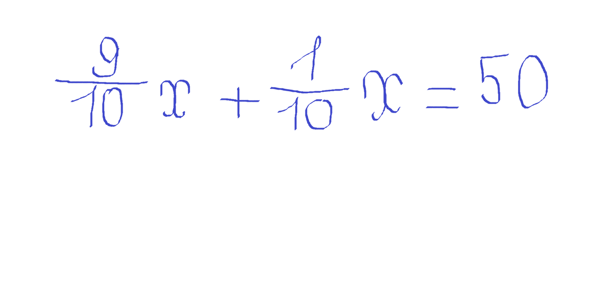
решите пожалуйста уравнение

Приложения:

Ответы

Ответ дал: vadoska
0
9/10x+1/10x=10/10x= 1x
1x=50
x=50
Ответ дал: Кондидат
0

9/10Х+1/10Х=50

10/10Х=50

Х=50

Вас заинтересует