Ответы
Ответ дал:
0
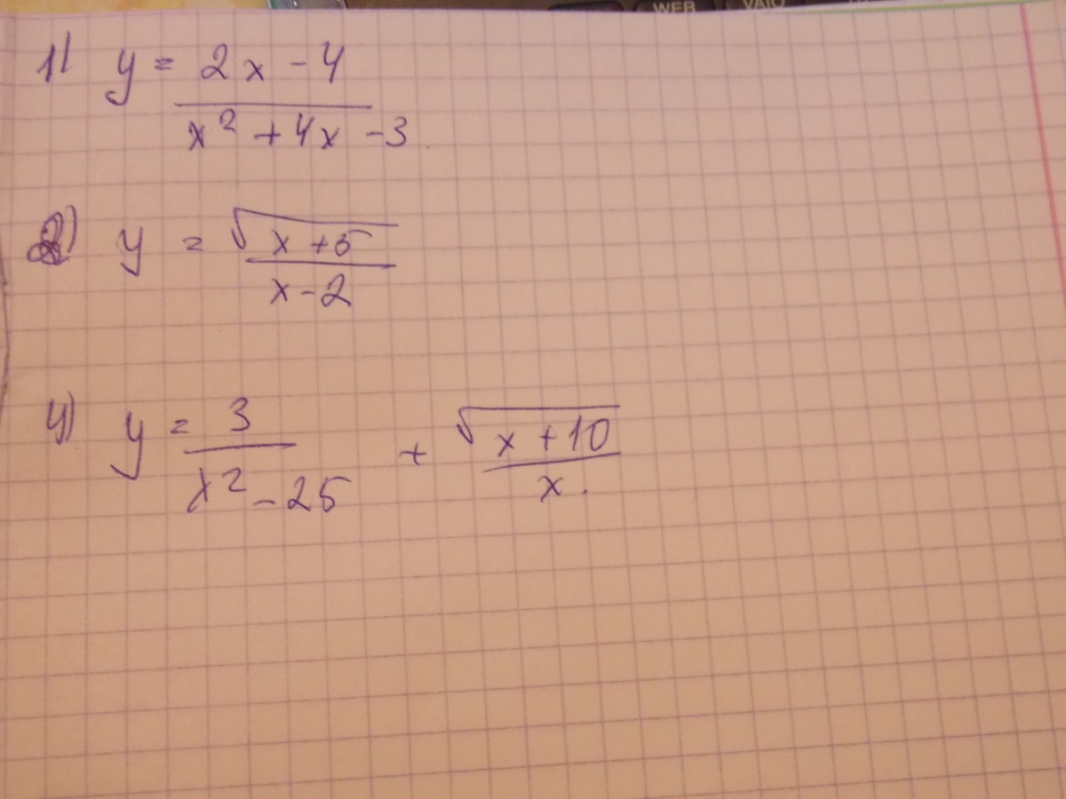
1) D(y) :
x2+4x-3 не равно 0
x1=-3
x2=-1
=> D(y)=(-беск;-3) и (-3;-1) и (-1;+беск.)
2) Система x+5>0 и x не равен 2.
D(y)= (-5;2) v (2;+беск)
3) D(y) = R
Совокупность из 1) x не равен = +- 5
2) x принадлежит (-10;0) v (0;+беск):
=> x принадлежит R
x2+4x-3 не равно 0
x1=-3
x2=-1
=> D(y)=(-беск;-3) и (-3;-1) и (-1;+беск.)
2) Система x+5>0 и x не равен 2.
D(y)= (-5;2) v (2;+беск)
3) D(y) = R
Совокупность из 1) x не равен = +- 5
2) x принадлежит (-10;0) v (0;+беск):
=> x принадлежит R
Ответ дал:
0
...................................................
Приложения:

Вас заинтересует
2 года назад
7 лет назад
7 лет назад
10 лет назад
10 лет назад
10 лет назад
10 лет назад