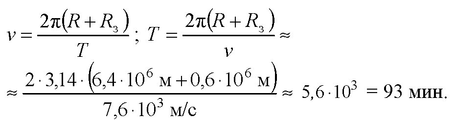
Какую скорость должен иметь искусственный спутник, чтобы обращаться по круговой орбите на высоте 600 км над поверхностью Земли? Каков период его обращения?
Ответы
Ответ дал:
0
Первое это дано, а второе - решение
Приложения:
Вас заинтересует
2 года назад
2 года назад
8 лет назад
8 лет назад
10 лет назад
10 лет назад
11 лет назад
11 лет назад