Ответы
                                            Ответ дал: 
                                                                                    
                                        
                                            
                                                
                                                
                                                
                                                    0
                                                
                                            
                                        
                                    
                                        1) деление это минус умнож. Плюс тоесть 11-49=-38 и + 40= 7^2=49
2)степень оставим 35:5 =7 и 7:7 равен 1 , 1 в любой степени 1
3) ни скобок,чтож =1/16^2*1/16^16= 1/16^18 илиже 16^-18
4) =300304-176400=п.к 123904=352
5) готовая формула будет 11-7=4
6) пк значит под корень, пк2.4 *пк 0.6=пк1.44 /пк0.16=1.2/0.4=3
7)=сокращаем 36 на 4 остается 4пк9*4пк9=4пк81=81^1/4=3
8)2^0.39*8^0.87=2^0.39*2^3*0.87=2^0.39+2.61=2^3=8
9) 10) ответ 1 сокращай 11) 1 сокращай
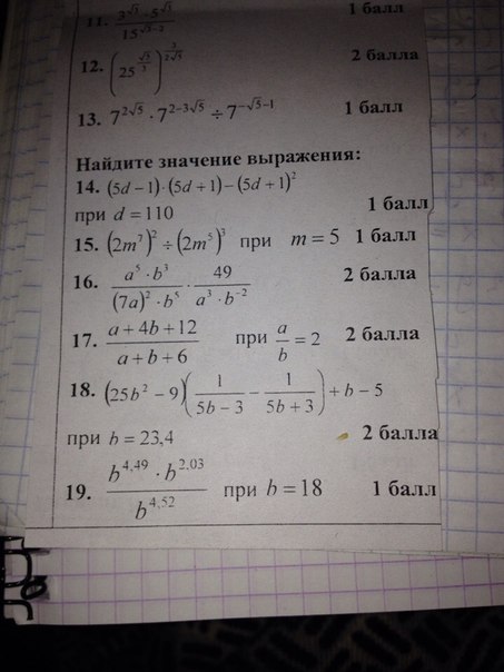
12) =5^2пк5/3 и за скобкой степень 3/пк5 сокращается остается 5
13) ответ 1 сокращай 14) =(5d-1)(5d+1)-(5d-1)(5d+1)=(550-1)-(550-1)=0 15)=2m^14/2m^15=m^-1 при m=5 равна 1/5 16,17,18,19 просто подставляй, где 16 там а=2 б=1
                                        
                                        
                                9) 10) ответ 1 сокращай 11) 1 сокращай
12) =5^2пк5/3 и за скобкой степень 3/пк5 сокращается остается 5
13) ответ 1 сокращай 14) =(5d-1)(5d+1)-(5d-1)(5d+1)=(550-1)-(550-1)=0 15)=2m^14/2m^15=m^-1 при m=5 равна 1/5 16,17,18,19 просто подставляй, где 16 там а=2 б=1
                                            Ответ дал: 
                                                                                    
                                        
                                            
                                                
                                                
                                                
                                                    0
                                                
                                            
                                        
                                    
                                        ок
                                    
                                        
                                        
                                
                                            Ответ дал: 
                                                                                    
                                        
                                            
                                                
                                                
                                                
                                                    0
                                                
                                            
                                        
                                    
                                        Где логарифм
                                    
                                        
                                        
                                Вас заинтересует
                
                        2 года назад
                    
                
                        2 года назад
                    
                
                        7 лет назад
                    
                
                        10 лет назад
                    
                
                        10 лет назад