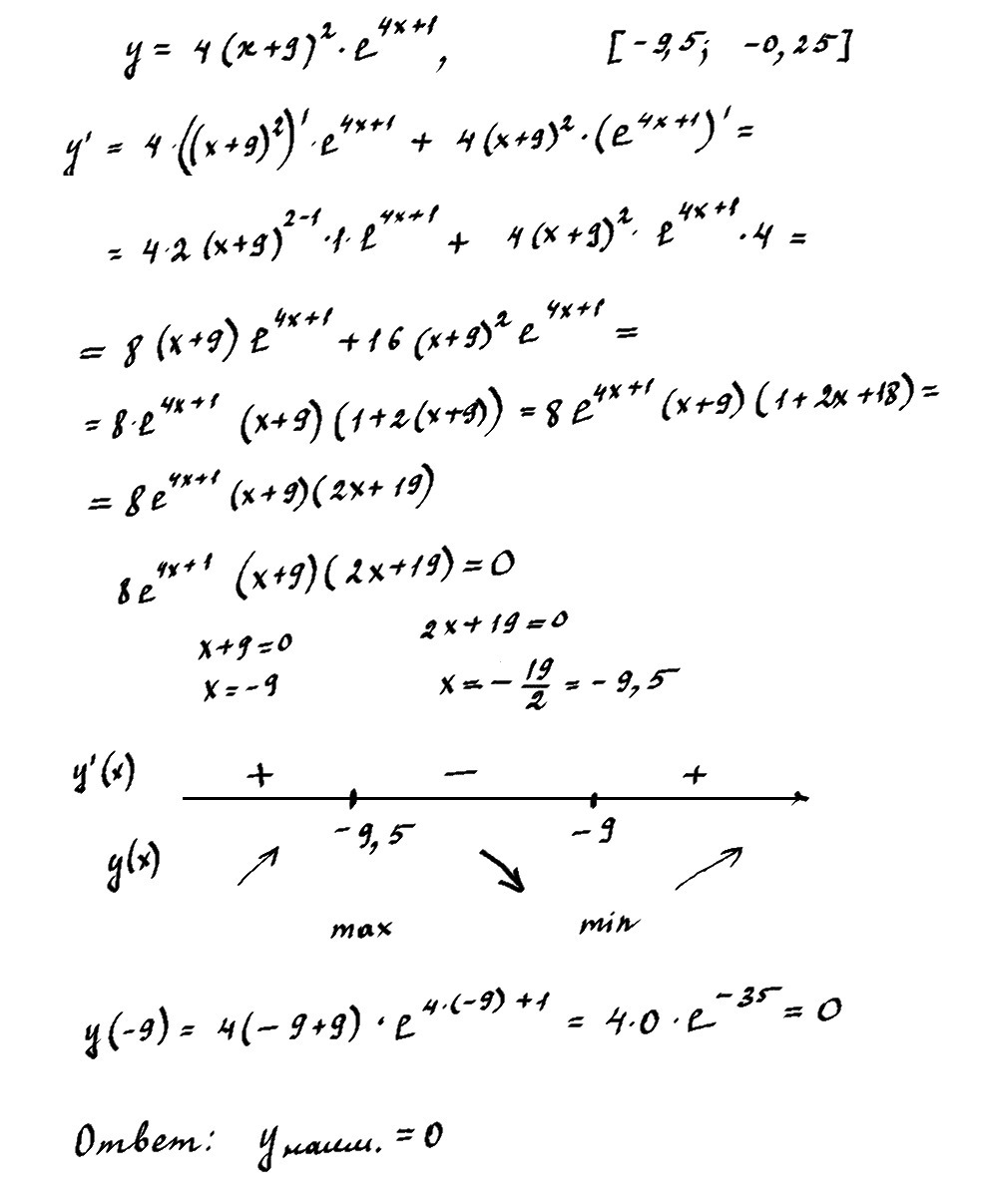
найти наименьшее значение функции y= 4(x+9)^2*e^(4x+1) на отрезке [-9.5;-0.25]
помогите найти производную и приравнять к нулю
Ответы
Ответ дал:
0
Решение в прикрепленном файле.
Для нахождения производной пользуемся правилом нахождения производной от произведения и правилом нахождения производной от сложной функции:
(u(x)·v(x))'=u'(x)·v(x)+u(x)·v'(x)
(u(v))'=u'(v)·v'
Для нахождения производной пользуемся правилом нахождения производной от произведения и правилом нахождения производной от сложной функции:
(u(x)·v(x))'=u'(x)·v(x)+u(x)·v'(x)
(u(v))'=u'(v)·v'
Приложения:
Вас заинтересует
8 лет назад
8 лет назад
10 лет назад
10 лет назад