• Предмет: Алгебра
  • Автор: alinanaumova2
  • Вопрос задан 10 лет назад

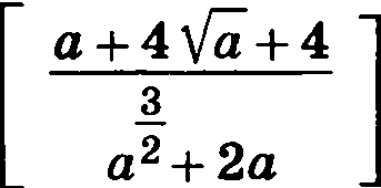
Помогите пожалуйста сократить дробь!

Приложения:

Ответы

Ответ дал: nKrynka
0
(a + 4√a +4) / (a^(3/2) + 2a)) = ((√a)^2 + 4√a + 4) / a*(√a + 2) =
 = ((√a + 2)^2) / a*(√a + 2) = (√a + 2) / a
Вас заинтересует