Ответы
Ответ дал:
0
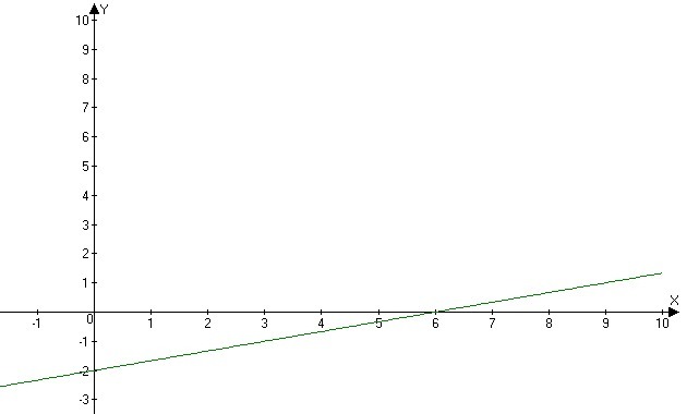
Графиком функции является прямая, которая проходит через точки (0;-2), (6;0), через эти точки и проводим прямую
Приложения:

Вас заинтересует
7 лет назад
7 лет назад
10 лет назад
10 лет назад
10 лет назад