Помогите решить уравнения пожалуйста:
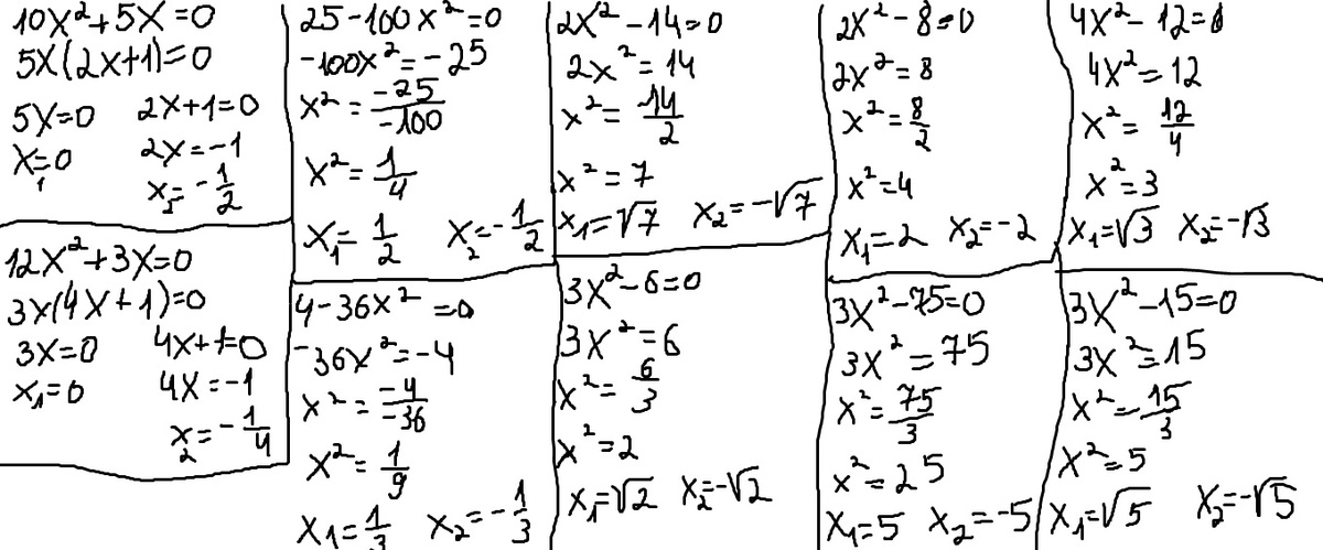
10х2 + 5х = 0.
12х2 + Зх = 0.
25 - 100х2 = 0.
4 - 36х2 = 0.
2х2 - 14 = 0.
Зх2 - 6 = 0.
2х2 - 8 = 0.
Зх2 - 75 = 0.
4х2 - 12 = 0.
. Зх2 -15 = 0.
Ответы
Ответ дал:
0
Вот все решения и ответы:
Приложения:

Вас заинтересует
2 года назад
2 года назад
7 лет назад
7 лет назад
10 лет назад
10 лет назад
10 лет назад