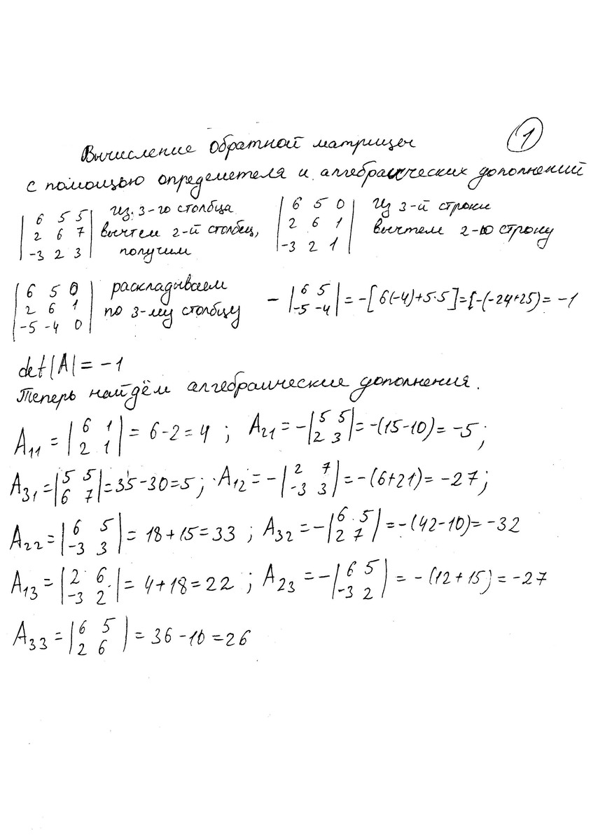
Найти обратную матрицу двумя способами под цифрой 20
1)по формуле
2)Вычисление с помощью элементарных преобразований матриц
Приложения:

Ответы
Ответ дал:
0
Вычисление дано в файлах. Успехов!
Приложения:



Вас заинтересует
2 года назад
2 года назад
7 лет назад
7 лет назад
10 лет назад
10 лет назад
10 лет назад