Ответы
Ответ дал:
0
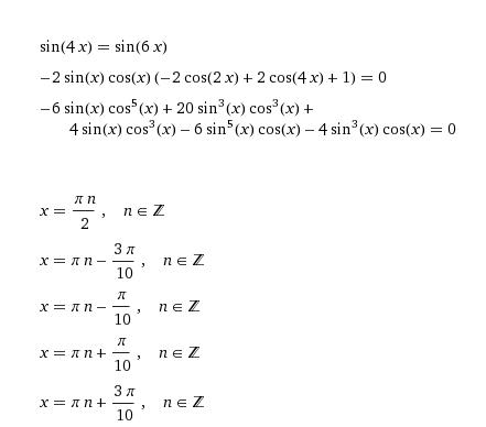
Решите уравнения Sin 4х - Sin 6х = 0
Приложения:

Вас заинтересует
2 года назад
7 лет назад
10 лет назад
10 лет назад
10 лет назад