• Предмет: Алгебра
  • Автор: Dashasochkova
  • Вопрос задан 10 лет назад

Решите пожалуйста! УРАВНЕНИЕ!
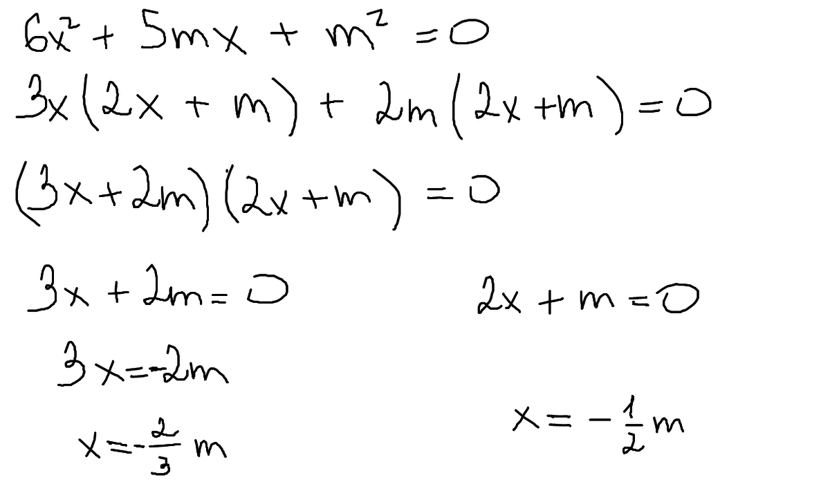
1) 6х^2+5mx+m^2=0

Ответы

Ответ дал: gardenGnostic
0
Немного не понятно, что именно нужно найти, но, так как это не система, я решила, принимая м за число.
UPD: забыла прикрепить решение.
Приложения:
Вас заинтересует