Ответы
Ответ дал:
0
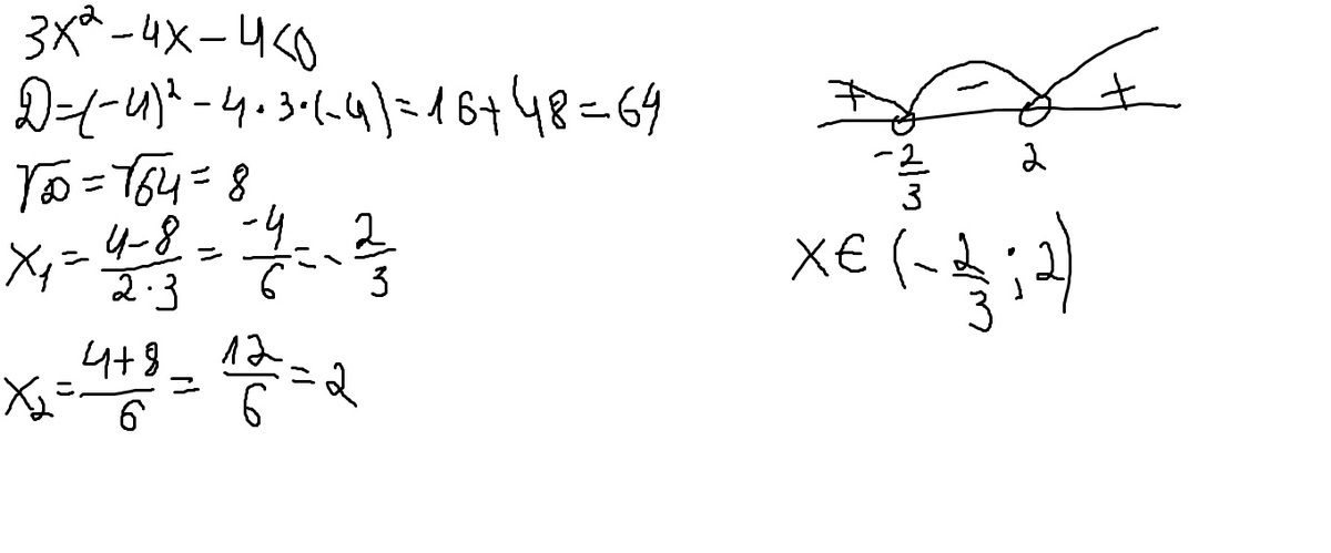
Вот все решение и ответ:
Приложения:

Ответ дал:
0
ошибка в ответе x1
Ответ дал:
0
6 на 2 при сокращении дробей даёт 1 / 3
Ответ дал:
0
ой . 2 / 3 извиняюсь ошибся
Ответ дал:
0
3x^2-4x-4=0
D=b^2-4ac=(-4)^2-4*3*(-4)=16+48=64
√D=8
x1=4+8 / 6 = 2
x2= 4-8 / 6 = - 4 / 6 = - 2 / 3
D=b^2-4ac=(-4)^2-4*3*(-4)=16+48=64
√D=8
x1=4+8 / 6 = 2
x2= 4-8 / 6 = - 4 / 6 = - 2 / 3
Приложения:

Вас заинтересует
2 года назад
7 лет назад
10 лет назад
10 лет назад
10 лет назад