Ответы
Ответ дал:
0
Что нам понадобится:
1)
2)
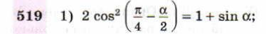
Преобразуем левую часть:

Заменим
, тогда:

Вернемся обратно к замене, получим:
- что равно правой части.
Тождество доказано.
1)
2)
Преобразуем левую часть:
Заменим
Вернемся обратно к замене, получим:
Тождество доказано.
Вас заинтересует
3 года назад
8 лет назад
10 лет назад
10 лет назад
11 лет назад
11 лет назад