• Предмет: Алгебра
  • Автор: мы13
  • Вопрос задан 11 лет назад

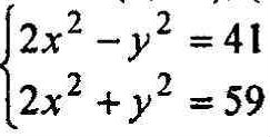
Помогите решить систему  уравнения методом алгебраического сложения 9 класс.

 

Приложения:

Ответы

Ответ дал: Аноним
0

(2x²-y²)+(2x²+y²)=41+59

4x²=100

x²=25

x=±5

 

2 случая:

-y²=41-50

-y²=-9

y²=9

y=±3

=======================================

 

Вас заинтересует