• Предмет: Математика
  • Автор: владушка6
  • Вопрос задан 11 лет назад

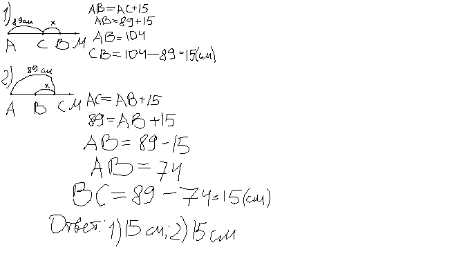
На луче АМ отложили отрезки АВ и АС, АС = 89 см.Найдите длину отрезка ВС, если: !)АВ на 15 см длинее АС; 2)АВ на 15 см короче АС.

Ответы

Ответ дал: смайлик111
0

смотри рисунок..................

Приложения:
Вас заинтересует