Интересует только 2 задание,3,5 под (в), и 6 под (в), ну и по возможностям 7, за ранее огромное спасибо
Приложения:

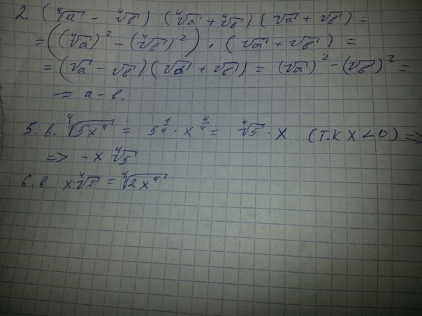
Ответы
Ответ дал:
0
7.Если бы не поломка, велосипедист бы затратил в 2 раза меньшее время, чем пешеход, то есть 20 минут. Но он затратил в итоге: 40-5=35 минут.Значит поломку он устранял: 35 - 20 = 15 минут.
Приложения:

Ответ дал:
0
Спасибо огромное!)
Ответ дал:
0
Еще бы 3 кто помог(
Вас заинтересует
2 года назад
2 года назад
10 лет назад
10 лет назад
10 лет назад