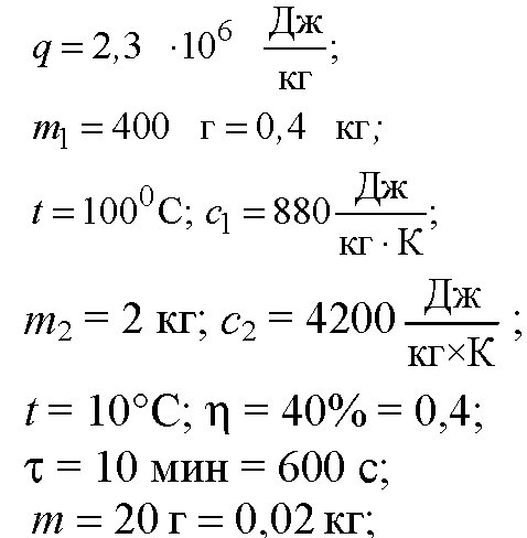
Алюминиевый чайник массой 400 г, в котором находится 2 кг воды при 10оС, помещают на газовую горелку с КПД 40%. Какова мощность горелки, если через 10 мин вода закипела, причем 20 г воды выкипело?
Ответы
Ответ дал:
0
1 картинка Дано
и там найти N
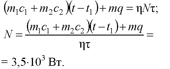
2 картинка Решение
3 картинка ответ
и там найти N
2 картинка Решение
3 картинка ответ
Приложения:



Вас заинтересует
2 года назад
2 года назад
7 лет назад
10 лет назад
10 лет назад
10 лет назад