• Предмет: Алгебра
  • Автор: alexxxxx1
  • Вопрос задан 10 лет назад

Помогите решить 50 баллов

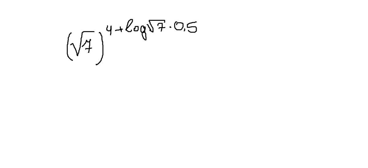
Приложения:

Ответы

Ответ дал: Аноним
0
( sqrt{7}) ^{4+log( sqrt{7})0,5 } =( sqrt{7} )^4*( sqrt{7}  ) ^{log( sqrt{7} )0,5} =49*0,5=24,5
Вас заинтересует