• Предмет: Алгебра
  • Автор: 12345sanya12345
  • Вопрос задан 10 лет назад

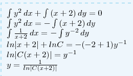
y^2dx+(x+2)dy=0    Решите пж)

Ответы

Ответ дал: Anastsiia
0
 int {y^2} , dx + int {(x+2)} , dy=0  \  int {y^2} , dx =- int {(x+2)} , dy \ 
 int  frac{1}{x+2}  , dx =- int {y^{-2}} , dy \ ln|x+2|+lnC=-(-2+1)y^{-1} \ ln|C(x+2)|=y^{-1} \ y= frac{1}{ln|C(x+2)|}
Приложения:
Вас заинтересует