• Предмет: Геометрия
  • Автор: puma9872
  • Вопрос задан 10 лет назад

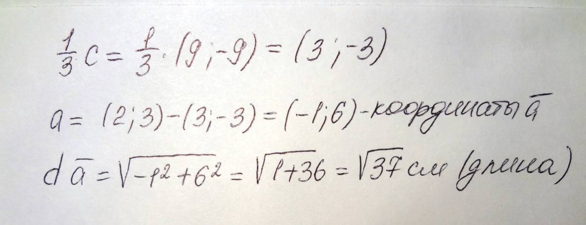
найдите координаты и длину вектора a если a=b-1/3c , b={2; 3} c={9;-9}

Ответы

Ответ дал: vlada7899
0
....................
Приложения:
Вас заинтересует