• Предмет: Алгебра
  • Автор: Margai
  • Вопрос задан 10 лет назад

нужно вычислить пределы lim (5*x*ctg(3*x)) стремится к нулю

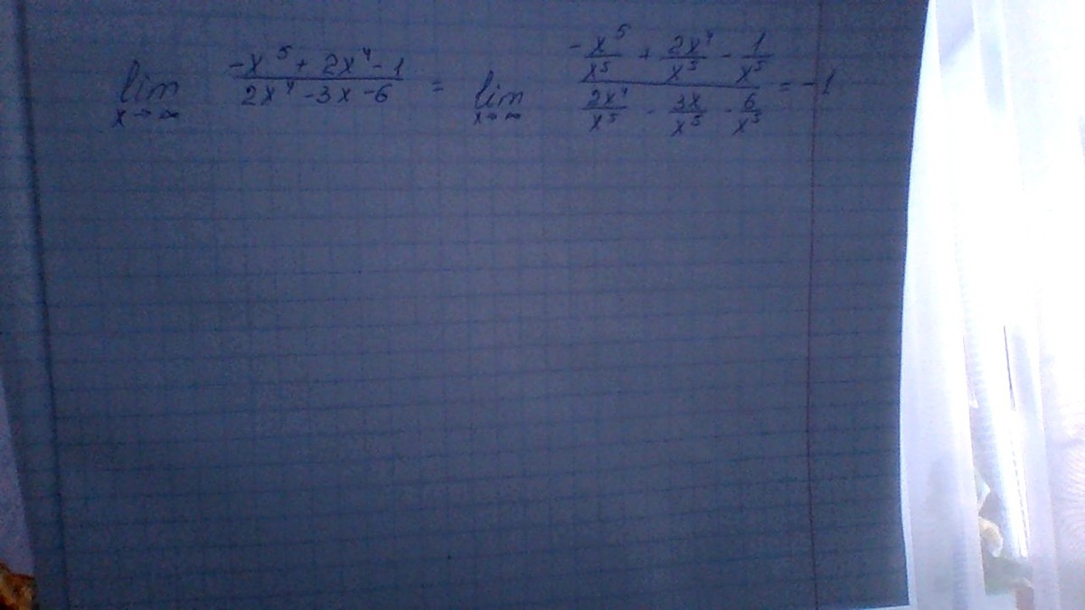
lim ((-x^5+2*x^4-1)/ (2*x^4-3*x-6)) стремится к бесконечности

Ответы

Ответ дал: Lerch1k
0
................................
Приложения:
Вас заинтересует