• Предмет: Физика
  • Автор: dimonchick1080
  • Вопрос задан 10 лет назад

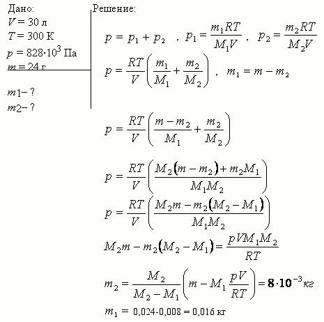
В баллоне емкостью 30 л содержится смесь водорода и гелия при температуре 17 С и давлении 1 МПа. Масса смеси 30 г. Найти (в г) массу водорода и массу гелия.

Ответы

Ответ дал: kaliegina
0
Все на картинке решение и задание                        
Приложения:
Ответ дал: dimonchick1080
0
увы нет, данные иные
Вас заинтересует