• Предмет: Алгебра
  • Автор: Lenair2007
  • Вопрос задан 10 лет назад

Помогите кто-нибудь решить пожалуйста !!!

Приложения:

Ответы

Ответ дал: Аноним
0
ctg²a+tg²a+1+ctg²a+1+tg²a=7
2ctg²a+2tg²a=5
tg²a+1/tg²a-2,5=0
tg^4a-2,5tg²a+1=0
tg²a=a
a²-2,5a+1=0
D=6,25-4=2,25
a1=(2,5-1,5)/2=1/2⇒tg²a=1/2⇒tga=+-√2/2⇒a=+-arctg√2/2+πn
a2=(2,5+1,5)/2=2⇒tg²a=2⇒tga=+-√2⇒a=+-arctg√2+πn
Ответ дал: Anastsiia
0
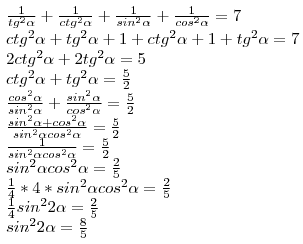
frac{1}{tg^2 alpha } + frac{1}{ctg^2 alpha } + frac{1}{sin^2 alpha } + frac{1}{cos^2 alpha }=7 \ ctg^2 alpha+tg^2 alpha+1+ctg^2 alpha+1+tg^2 alpha=7 \ 2ctg^2 alpha+2tg^2 alpha=5 \ ctg^2 alpha+tg^2 alpha= frac{5}{2}  \  frac{cos^2 alpha }{sin^2 alpha } + frac{sin^2 alpha }{cos^2 alpha } =frac{5}{2} \  frac{sin^2 alpha +cos^2 alpha}{sin^2 alpha cos^2 alpha}=frac{5}{2} \  frac{1}{sin^2 alpha cos^2 alpha}=frac{5}{2}
 sin^2 alpha cos^2 alpha= frac{2}{5} \  frac{1}{4} *4* sin^2 alpha cos^2 alpha= frac{2}{5} \frac{1}{4} sin^22 alpha =frac{2}{5}  \ sin^22 alpha= frac{8}{5}
Приложения:
Вас заинтересует