• Предмет: Алгебра
  • Автор: fedormiz
  • Вопрос задан 10 лет назад

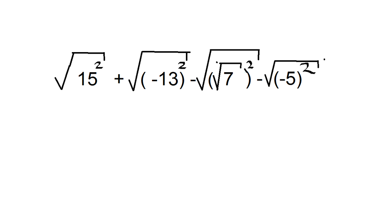
Помогите!! Решить пример:

Приложения:

Ответы

Ответ дал: red321
0
sqrt{15^2}+sqrt{(-13)^2}-sqrt{(sqrt{7})^2}-sqrt{(-5)^2}=15+13-sqrt{7}-5=23-sqrt{7}
Вас заинтересует