• Предмет: Математика
  • Автор: s0zekh
  • Вопрос задан 10 лет назад

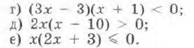
Помогите пож. срочно!!

Приложения:

Ответы

Ответ дал: Anysik03
0
во вложении.......................наверное так 
Приложения:
Ответ дал: melkiy2003
0
да да да так
Вас заинтересует