Ответы
Ответ дал:
0
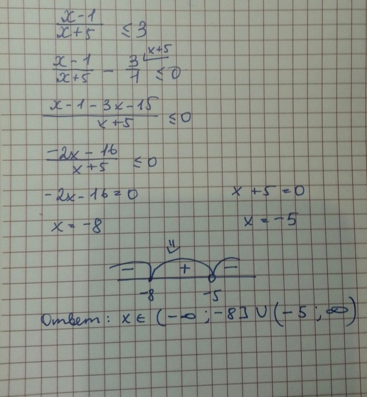
Держи :) Методом интервалов
Приложения:

Ответ дал:
0
то, как мне нужно, спасибо) скажи, а можешь еще найдите область определения функции? ну это в другом номрее)
Ответ дал:
0
номере
Ответ дал:
0
Давай
Ответ дал:
0
а) у=√5х-4х² (полностью квадратный корень)
б) у=√х²+2х-80(полность кв. корень)/3х-36
в) у=√9-х²(полностью кв корень) + √5-2х (тоже полностью)
б) у=√х²+2х-80(полность кв. корень)/3х-36
в) у=√9-х²(полностью кв корень) + √5-2х (тоже полностью)
Вас заинтересует
2 года назад
2 года назад
7 лет назад
10 лет назад
10 лет назад
10 лет назад