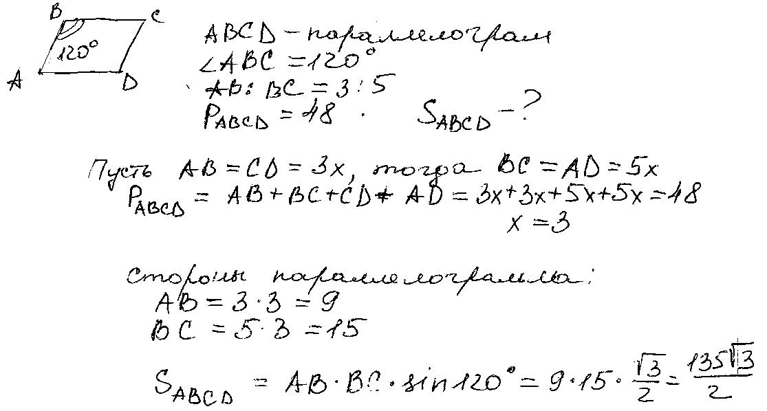
Стороны параллелограмма относятся как 3:5. Найдите площадь параллелограмма, если его перипетр равен 48, а один из углов раввен 120 гр.
Ответы
Ответ дал:
0
Во влоении подходящее решение, разберетесь
Приложения:

Вас заинтересует
2 года назад
2 года назад
8 лет назад
10 лет назад
10 лет назад
10 лет назад