Ответы
Ответ дал:
0
Во вложении..........
Приложения:
Ответ дал:
0
Спасибо огромное!
Ответ дал:
0
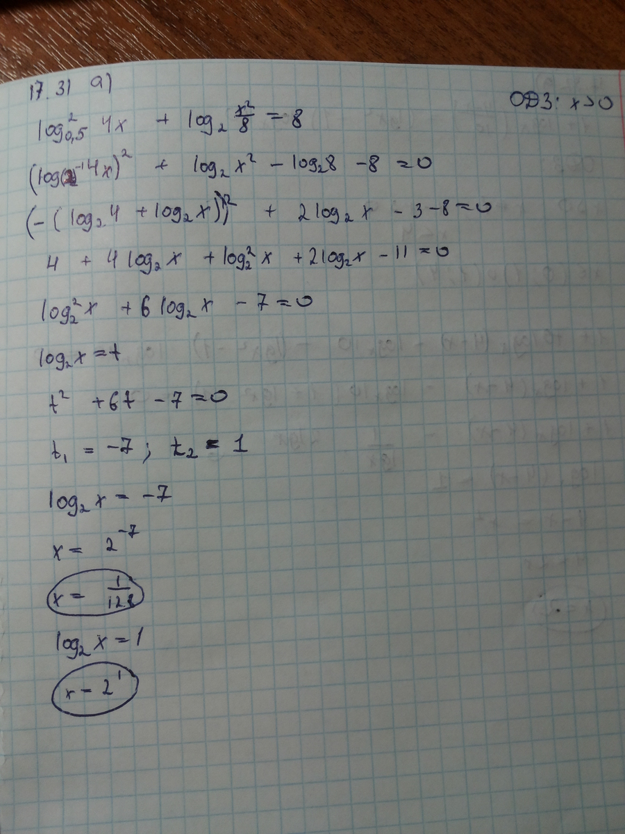
31
ОДЗ x>0
(log(0,5)4x)²+log(2)x²-log(2)8=8
(log(0,5)x-2)²-2log(0,5)x-3-8=0
(log(0,5)x)²-4log(0,5)x+4-2log(0,5)x-11=0
(log(0,5)x)²-6log(0,5)x+4-7=0
log(0,5)x=a
a²-6a-7=0a1+a2=6 U a1*a2=-7
a1=-1⇒log(0,5)x=-1⇒x=2
a2=7⇒log(0,5)x=7⇒x=1/128
32
ОДЗ x>0,x≠1,4-x>0⇒x<4x∈(0;1) U (1;4)
1+log(x)(4-x)-log(x)10=(2/log(x)10 -1)*log(x)10
1+log(x)(4-x)-log(x)10=2-log(x)10
log(x)(4-x)=1
4-x=x
x_x=4
2x=4
x=2
ОДЗ x>0
(log(0,5)4x)²+log(2)x²-log(2)8=8
(log(0,5)x-2)²-2log(0,5)x-3-8=0
(log(0,5)x)²-4log(0,5)x+4-2log(0,5)x-11=0
(log(0,5)x)²-6log(0,5)x+4-7=0
log(0,5)x=a
a²-6a-7=0a1+a2=6 U a1*a2=-7
a1=-1⇒log(0,5)x=-1⇒x=2
a2=7⇒log(0,5)x=7⇒x=1/128
32
ОДЗ x>0,x≠1,4-x>0⇒x<4x∈(0;1) U (1;4)
1+log(x)(4-x)-log(x)10=(2/log(x)10 -1)*log(x)10
1+log(x)(4-x)-log(x)10=2-log(x)10
log(x)(4-x)=1
4-x=x
x_x=4
2x=4
x=2
Приложения:
Вас заинтересует
3 года назад
8 лет назад
10 лет назад
10 лет назад
11 лет назад