Ответы
Ответ дал:
0
х^2+2х-3=0 х1+х2=-2 х1*х2=-3 х1=-3 х2=1
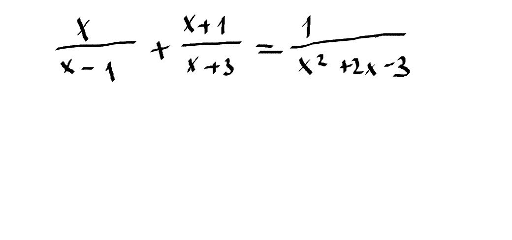
х/(x-1) +(x+1)/(x+3)= 1/(x+3)(x-1) приводим к общему знаменателю(х+3)(х-1)
х^2+3x+x^2-1-1=0
2x^2+3x-2=0
x1=1/2 x2=-2
Ответ: х1=0,5 и х2=-2
х/(x-1) +(x+1)/(x+3)= 1/(x+3)(x-1) приводим к общему знаменателю(х+3)(х-1)
х^2+3x+x^2-1-1=0
2x^2+3x-2=0
x1=1/2 x2=-2
Ответ: х1=0,5 и х2=-2
Вас заинтересует
3 года назад
8 лет назад
8 лет назад
10 лет назад
11 лет назад
11 лет назад