Ответы
Ответ дал:
0
401
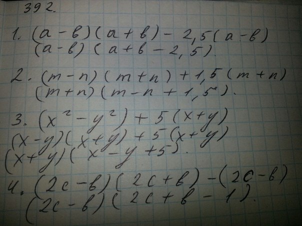
1. 3ax(4a^2-12ab+9b^2)=3ax(2a-3b)^2
2. 2b(a^2b^2-14ab+49)=2b(a^2b^2-7)^2
1. 3ax(4a^2-12ab+9b^2)=3ax(2a-3b)^2
2. 2b(a^2b^2-14ab+49)=2b(a^2b^2-7)^2
Приложения:
Ответ дал:
0
Докажите что при каждом натуральном n значение выражения
(2n+3)^2-(2n-1)^2
(2n+3)²=4n²+12n+9
(2n-1)²=4n²-4n+1
(4n²+12n+9)-(4n²-4n+1)
4n²+12n+9-4n²+4n-1
16n+8
8(2n+1)
вот теперь доказано т.к если поделить на восемь
8(2n+1)/ 8= то останется (2n+1)
тем самым делится на восемь
(2n+3)^2-(2n-1)^2
(2n+3)²=4n²+12n+9
(2n-1)²=4n²-4n+1
(4n²+12n+9)-(4n²-4n+1)
4n²+12n+9-4n²+4n-1
16n+8
8(2n+1)
вот теперь доказано т.к если поделить на восемь
8(2n+1)/ 8= то останется (2n+1)
тем самым делится на восемь
Приложения:
Вас заинтересует
3 года назад
3 года назад
8 лет назад
10 лет назад
10 лет назад
11 лет назад
11 лет назад