• Предмет: Алгебра
  • Автор: Мелисca
  • Вопрос задан 10 лет назад

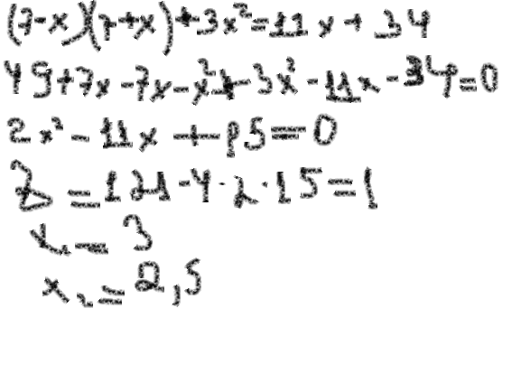
Решите уравнение
(7-х)(7+х)+3х^2=11х+34

Ответы

Ответ дал: cloudyorange
0
х1 и х2 это ответы
3 и 2,5
Приложения:
Вас заинтересует