Решите задачу.
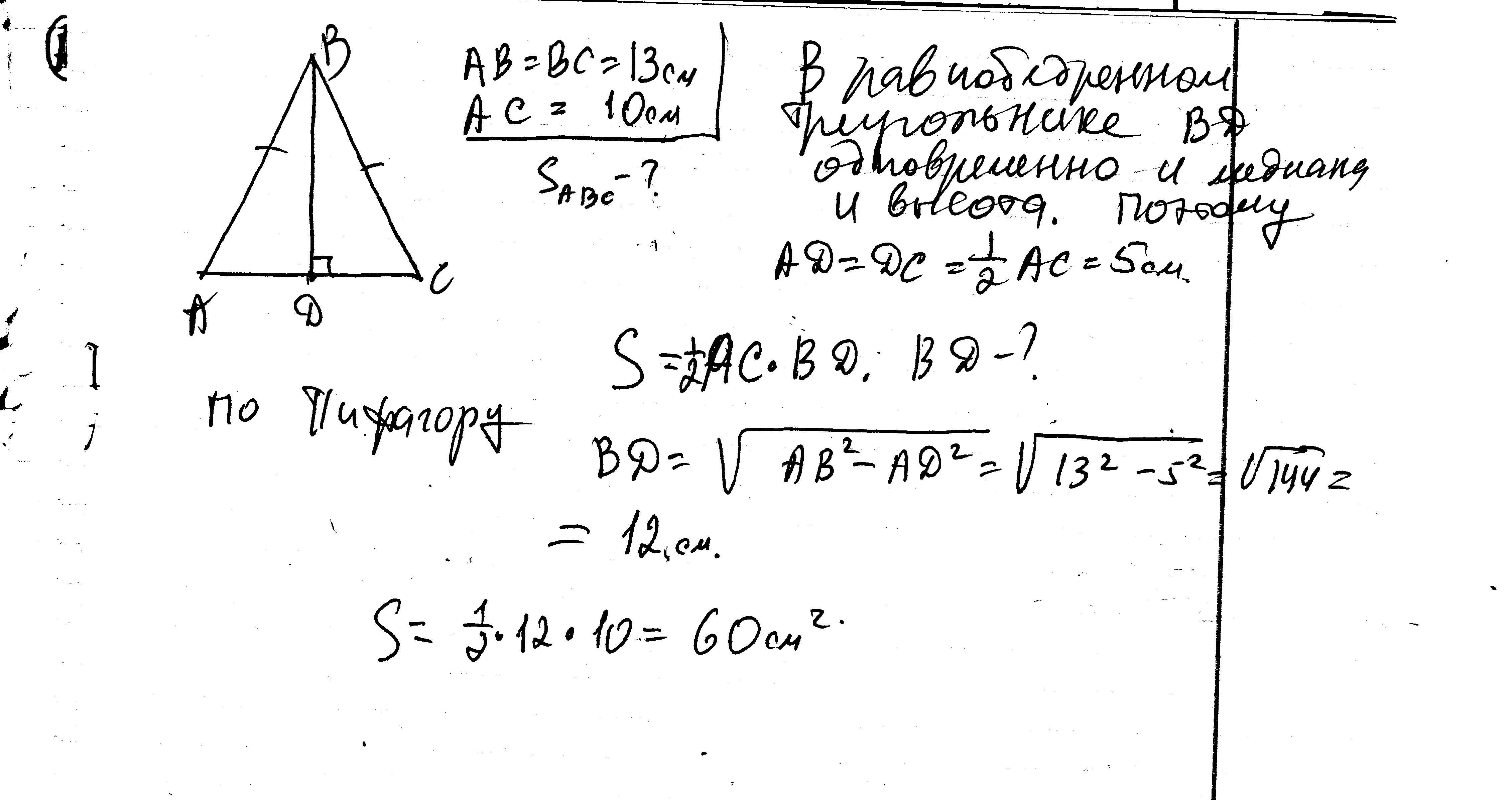
Найдите площадь равнобедренного треугольника, если его основание 10 см, а боковая сторона 13 см.
Ответы
Ответ дал:
0
решение в скане..............
Приложения:

Вас заинтересует
2 года назад
7 лет назад
10 лет назад
10 лет назад
10 лет назад