Ответы
Ответ дал:
0
кц=ра+аа+аы=15 п це цец
Ответ дал:
0
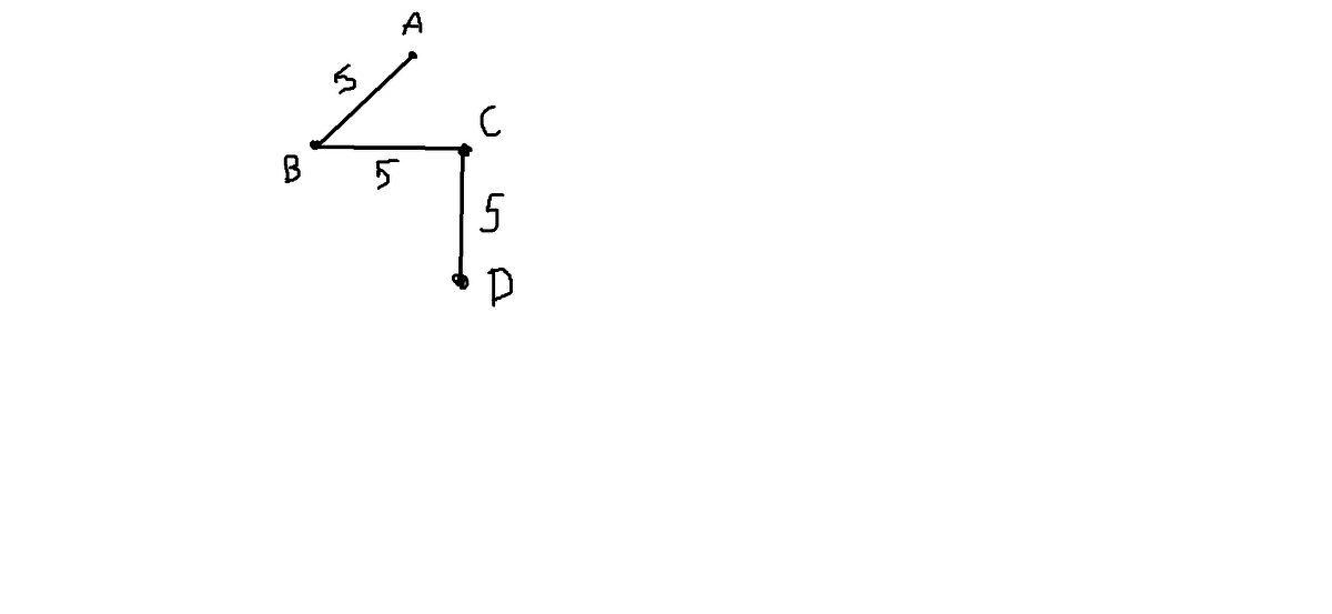
смотри рисунок 1 звено 2см 2)1см 3)2см
Приложения:


Ответ дал:
0
все понятно ?
Ответ дал:
0
одна линия является одним звеном?
Ответ дал:
0
да
Ответ дал:
0
отрезок АB это одно звено ВС второе
Ответ дал:
0
спасибо
Вас заинтересует
2 года назад
7 лет назад
7 лет назад
10 лет назад
10 лет назад
10 лет назад