Ответы
Ответ дал:
0
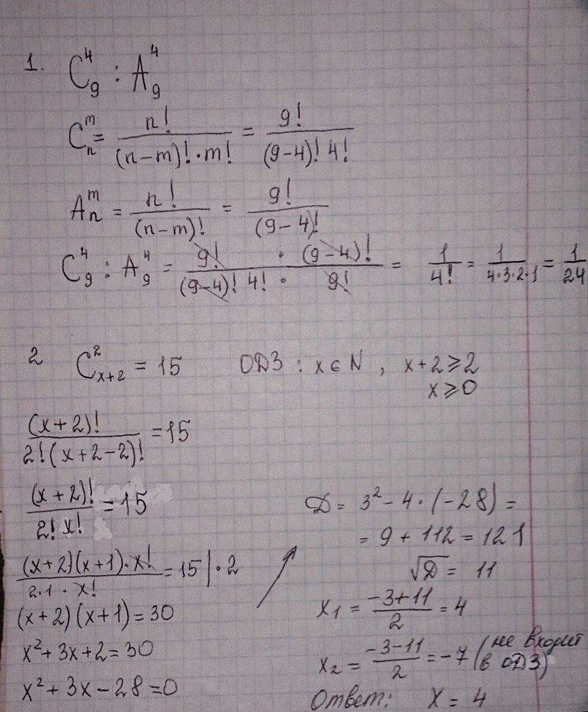
Число, например 5! - читается 5 факториал и расписывается 5! = 5*4*3*2*1, все формулы по комбинаторике и решение заданий смотрите в файле
Приложения:
Ответ дал:
0
Наигромнейшее спасибо!!!
Ответ дал:
0
Если это комбинаторика, тогда
1) С = ( 9! ) / ( ( 9 - 4 ) ! * 4 ! ) = ( 6 * 7 * 8 * 9 ) / ( 2 * 3 * 4 ) = 3 * 6 * 7 = 126
А = 6 * 7 * 8 * 9 = 3024
С / А = 1 / 24
2) ( ( x + 2 ) ! ) / ( x! * 2 ! ) = ( 1 * 2 *..* x * ( x + 1 ) ( x + 2 ) ) / ( 1 * 2 * .. * x * 2 )=
= ( x^2 + 3x + 2 ) / 2
( x^2 + 3x + 2 ) / 2 = 15
x^2 + 3x - 28 = 0
x1 = -7 : x2 = 4
1) С = ( 9! ) / ( ( 9 - 4 ) ! * 4 ! ) = ( 6 * 7 * 8 * 9 ) / ( 2 * 3 * 4 ) = 3 * 6 * 7 = 126
А = 6 * 7 * 8 * 9 = 3024
С / А = 1 / 24
2) ( ( x + 2 ) ! ) / ( x! * 2 ! ) = ( 1 * 2 *..* x * ( x + 1 ) ( x + 2 ) ) / ( 1 * 2 * .. * x * 2 )=
= ( x^2 + 3x + 2 ) / 2
( x^2 + 3x + 2 ) / 2 = 15
x^2 + 3x - 28 = 0
x1 = -7 : x2 = 4
Приложения:
Вас заинтересует
3 года назад
3 года назад
8 лет назад
10 лет назад
11 лет назад